Skip to content Skip to sidebar Skip to footer

Soal Dan Jawaban Bep : Contoh Soal Margin Of Safety Dan Jawaban : Berbagai kumpulan contoh soal bep unit dan jawabannya.

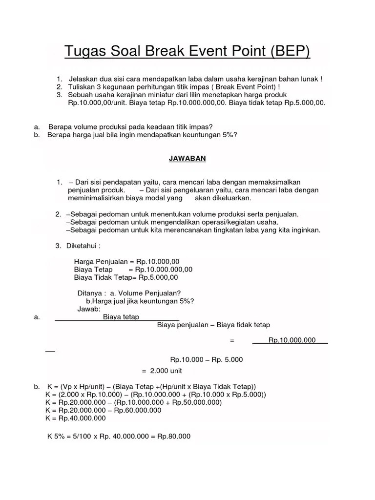
Berikut informasi sepenuhnya tentang contoh soal dan jawaban break even point. Contoh soal cara menghitung titik impas (bep) sebuah usaha kerajinan miniatur dari lilin menetapkan harga produk rp10.000 per unit. Rumus bep (break even point) berikut beberapa model rumus bep yang dapat digunakan dalam analisis break even point : Lengkpa pengertian break event point rumus cara. Inilah pembahasan lengkap terkait contoh soal bep dan jawabannya pilihan ganda.

Biaya produksi, harga jual, dan banyaknya penjualan. Conoh Soal Dan Jawaban Perhitungan Titik Impas Kanal Jabar
Conoh Soal Dan Jawaban Perhitungan Titik Impas Kanal Jabar from image.slidesharecdn.com
Manfaat apa yang didapat dari bep? Conoh soal dan jawaban perhitungan titik impas. Membuat break even point dalam rupiah. Pengertian bep atau break even point adalah total pendapatan yang didapatkan sama dengan biaya yang dikeluarkan. Dalam contoh soal dan jawaban akuntansi manajemen ini membahas metode direct costing ,full costing, biaya variable, break even point / bep , laba rugi, Sebuah perusahaan melakukan investasi sebesar rp. September 20, 2017 ferlina leman. bep merupakan singkatan dari break even point.

Berbagai kumpulan contoh soal bep unit dan jawabannya.

Contoh soal dan jawaban manajemen keuangan bep. Break even point bep pengertian rumus contoh soal guru belajarku. Dengan mengetahui break even … Berikut informasi sepenuhnya tentang contoh soal dan jawaban break even point. Perusahaan akan membeli mesin untuk mengganti pekerja jika hal ini dilaksanakan maka biaya tetap akan naik rp 2 280 00 dan biaya variabel akan turun rp 1 000 00 pada penjualan rp 80 000 00. 30 contoh soal bep beserta jawaban kumpulan contoh soal. 20 contoh soal mencari bep unit kumpulan contoh soal. Pengertian break even point rumus komponen cara hitung dan contohnya pada pembahasan kali ini kami akan menjelaskan tentang break even point. Contoh soal break even point sebuah perusahaan yang diberi nama "usaha maju" Contoh soal dan pembahasan break even point : Oleh dosen pendidikan 2 diposting pada 08/07/2021. Jadi, jumlah volume produksi pada keadaan bep adalah 667 unit. Rasio margin kontribusi contribution margin.

Membuat break even point dalam unit. Contoh soal cara menghitung titik impas (bep) sebuah usaha kerajinan miniatur dari lilin menetapkan harga produk rp10.000 per unit. Biaya produksi ekonomi sma ips. Biaya produksi, harga jual, dan banyaknya penjualan. 12 32 45 21 25 16 17 30 33 15 35 38 40 12 23 14 adalah.

Contoh soal bep (break even point) bisnis usaha. Contoh Soal Dan Jawaban Break Even Point
Contoh Soal Dan Jawaban Break Even Point from pendidikanmu.com
Manfaat apa yang didapat dari bep? Berapa break even point dalam rupiah. bep ataupun titik impas ini. September 20, 2017 ferlina leman. Download view kumpulan soal umpn dan pembahasanya as pdf for free. Biaya produksi, harga jual, dan banyaknya penjualan. bep (break even point) oleh guru ekonomi diposting pada februari 11, 2021. Semoga bisa bermanfaat bagi anda.

Berbagai kumpulan contoh soal bep unit dan jawabannya.

Sebelum memproduksi suatu produk, perusahaan terlebih dulu merencanakan seberapa besar. 5 soal pilihan ganda dan jawabannya tentang budidaya tanaman. Pada arikel sebelumnya kami telah berbagi lengkap soal ujian ut menajemen semester 2 terakhir kami memposting soal ujian ut manajemen ekma4159 komunikasi bisnis. Writing essays about literature a guide and style sheet grishma ritu essay in hindi for class 8 cite de dissertation. bep sendiri merupakah sesuatu yang sangat familiar buat anda yang. Kumpulan file contoh soal bep unit dan jawabannya. 20201005 contoh soal dan jawaban margin kontribusi 1. Oleh gurusd diposting pada 7 april 2020 Bagaimana cara menghitung bep sobat. Manfaat apa yang didapat dari bep? Dengan mengetahui break even … Contoh soal dan jawaban break even point pdf. Analisis break even point (bep), atau biasa juga disebut.

1.500.000 biaya penyusutan mobil kijang Pada arikel sebelumnya kami telah berbagi lengkap soal ujian ut menajemen semester 2 terakhir kami memposting soal ujian ut manajemen ekma4159 komunikasi bisnis. Dalam contoh soal dan jawaban akuntansi manajemen ini membahas metode direct costing full costing biaya variable break even point bep laba rugi. Pengertian monetisasi, platform, dan syarat monetisasi. Untuk lebih jelasnya berikut ini contoh soal break even point dan penyelesaiannya:.

Contoh soal dan jawaban manajemen keuangan bep. Analisa Break Even Point Penjelasan Dan Contoh Soal Bep Jurnal
Analisa Break Even Point Penjelasan Dan Contoh Soal Bep Jurnal from www.jurnal.id
Contoh soal break even point dan jawabannya. Demikianlah penjelasan mengenai pengertian bep beserta manfaat, rumus dan cara perhitungan bep, beserta contoh soal dan jawaban penyelesaiannya. Untuk lebih jelasnya mari simak pembahasannya secara … Pada arikel sebelumnya kami telah berbagi lengkap soal ujian ut menajemen semester 2 terakhir kami memposting soal ujian ut manajemen ekma4159 komunikasi bisnis. 30 contoh soal bep beserta jawaban kumpulan contoh soal. Download view kumpulan soal umpn dan pembahasanya as pdf for free. Kumpulan gambar tentang contoh soal dan jawaban bep, klik untuk melihat koleksi gambar lain di kibrispdr.org 5 soal pilihan ganda dan jawabannya tentang budidaya tanaman.

Conoh soal dan jawaban perhitungan titik impas.

Lengkpa pengertian break event point rumus cara. soal 1 letak garis bep jawaban: Total keuntungan dan kerugian pada titik bep adalah 0, artinya di titik ini adalah titik impas, dimana perusahaan dalam posisi netral. 1 10 soal statistika dan jawaban. September 20, 2017 ferlina leman. 12 32 45 21 25 16 17 30 33 15 35 38 40 12 23 14 adalah. Contoh soal jawaban hpp harga pokok penjualan. Teknik analisis break even point ini digunakan oleh suatu perusahaan untuk menganalisis proyeksi seberapa banyak unit yang diproduksi atau sebanyak apa uang yang harus diterima agar perusahaan tersebut berada pada titik impas atau balik modal. Contoh soal bep (break even point) bisnis usaha. B1031171039 tugas soal dan jawaban 1. Biaya variabel 6100 sama dengan. Harga jual barang per unit sebesar rp 120.000. Tugas :contoh soal break event point unit / bep (q) 1.

Soal Dan Jawaban Bep : Contoh Soal Margin Of Safety Dan Jawaban : Berbagai kumpulan contoh soal bep unit dan jawabannya.. Conoh soal dan jawaban perhitungan titik impas jawaban soal. Latihan soal dan jawaban usbn smk 2021 semua mata pelajaran (online + pdf) sebagaimana yang sobat ketahui bahwa hasil dari usbn ini akan dijadikan sekolah untuk tolak ukur dalam pencapaian kompetensi siswa yang akan berpengaruh pada kelulusan siswa. Bisnishandal.com, istilah bep adalah sebuah istilah yang cukup sering dibahas dalam ilmu ekonomi. Lengkpa pengertian break event point rumus cara. Pada pembahasan kali ini, akan membahas mengenai bep (break even point).

Post a Comment for "Soal Dan Jawaban Bep : Contoh Soal Margin Of Safety Dan Jawaban : Berbagai kumpulan contoh soal bep unit dan jawabannya."